
25-06-2010, 15:57
|
|
|
تاريخ التسجيل: Jun 2009
المشاركات: 46
|
|
رد: مبتعث يريد المساعده في حل مسائل
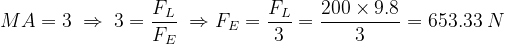
Q2: سنوجد القوة بـالـ Machine Advantage

وفي نظام البكرات يمكن إيجاد MA بطريقة أخرى:
وهي أنه يساوي عددَ الحبال الحاملة للبكرات (واحدة أو اثنتين) الحاملة للثقل أو الحبال التي تشد لأعلى، وهي من الرسم ثلاث حبال، إذن MA=3
وليكتب له كملاحظة:
MA is equal to the number of supporting ropes
طبعا هو له قانون يعتمد على الإزاحات، ولكن تكفي هذه الملاحظة

--------
المخطط:
فقط اقلب المخطط رأسا على عقب كما في الصورة
لاحظ أن عدد الحبال الرافعة زاد واحدا؛ فصار MA=4
--------
الفقرة الثالثة في وقت قريب إن شاء الله
الرجاء مراجعة الحلول، لأني أحلها مباشرة على الجهاز
والسلام عليكم
|